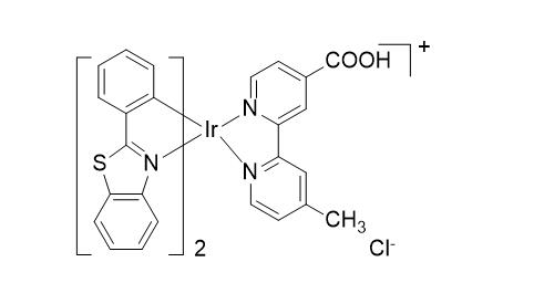
Bis(2-phenylbenzothiazole-C2,N)(4-methyl-4’-carboxy-2,2’-bipyridyl) iridium(III) chloride
| Product No. | IR406625625Cl |
| Catalog | Organic Light Emitting Diodes (OLED) |
| Molecular Formula | C38H26O2N4S2CliR |
| Molecular Weight | 862.44 |
Product Details
Related Products